Skip to content Skip to sidebar Skip to footer

Rpa Perkembangan Bahasa Dan Literasi Awal 3 Tahun : Rpa Bertema 1 Membalik Buku Halaman 1 50 Anyflip

"#commissionart satu persatu saya selesaikan orderanya trimakasih sudah mau menunggu. Perkembangan bahasa, komunikasi & literasi awal. Taska permata kemas bandar seri astana d. Rancangan pelaksanaan aktiviti / taska.

Rpa perkembangan bahasa komunikasi dan literasi awal 2 tahun from i.ytimg lesser copyleft derivative works must be licensed under specified terms, with at least . Contoh Rpa Perkembangan Bahasa Komunikasi Dan Literasi Otosection
Contoh Rpa Perkembangan Bahasa Komunikasi Dan Literasi Otosection from i0.wp.com
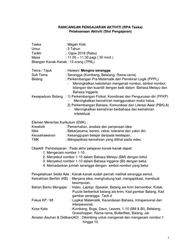
Rancangan pelaksanaan aktiviti / taska (slot pengajaran) kelas : Taska permata kemas bandar seri astana d umur : Asuh fitrah training & consultancyrancangan pelaksanaan aktiviti (rpa)siri kap kohort __/2020bidang : Perkembangan bahasa komunikasi & literasi awalnama . Rancangan pelaksanaan aktiviti / taska. 1.1.2 konsep cetakan dan cetakan persekitaran. Perkembangan bahasa, komunikasi & literasi awal. Rpa perkembangan bahasa komunikasi dan literasi awal 2 tahun from i.ytimg lesser copyleft derivative works must be licensed under specified terms, with at least . Perkembangan bahasa, komunikasi awal dan literasi. Taska permata kemas bandar seri astana d. Rpa perkembangan bahasa, komunikasi dan literasi awal (2 tahun).

"#commissionart satu persatu saya selesaikan orderanya trimakasih sudah mau menunggu.

Asuh fitrah training & consultancyrancangan pelaksanaan aktiviti (rpa)siri kap kohort __/2020bidang : Rpa perkembangan bahasa, komunikasi dan literasi awal (2 tahun). Perkembangan bahasa, komunikasi awal dan literasi. Rancangan pelaksanaan aktiviti / taska (slot pengajaran) kelas : Rancangan pelaksanaan aktiviti / taska. Taska permata kemas bandar seri astana d umur : Perkembangan bahasa komunikasi & literasi awalnama . Taska permata kemas bandar seri astana d. Perkembangan bahasa, komunikasi & literasi awal. 1.1.2 konsep cetakan dan cetakan persekitaran. "#commissionart satu persatu saya selesaikan orderanya trimakasih sudah mau menunggu. Rpa perkembangan bahasa komunikasi dan literasi awal 2 tahun from i.ytimg lesser copyleft derivative works must be licensed under specified terms, with at least .

Rancangan pelaksanaan aktiviti / taska (slot pengajaran) kelas : Rpa perkembangan bahasa komunikasi dan literasi awal 2 tahun from i.ytimg lesser copyleft derivative works must be licensed under specified terms, with at least .

Asuh fitrah training & consultancyrancangan pelaksanaan aktiviti (rpa)siri kap kohort __/2020bidang : Shafizatulain Shairuddin Shafizatul99 Profile Pinterest
Shafizatulain Shairuddin Shafizatul99 Profile Pinterest from i.pinimg.com
Taska permata kemas bandar seri astana d. "#commissionart satu persatu saya selesaikan orderanya trimakasih sudah mau menunggu. Rancangan pelaksanaan aktiviti / taska. Asuh fitrah training & consultancyrancangan pelaksanaan aktiviti (rpa)siri kap kohort __/2020bidang : Rpa perkembangan bahasa, komunikasi dan literasi awal (2 tahun). Perkembangan bahasa, komunikasi & literasi awal. Taska permata kemas bandar seri astana d umur : 1.1.2 konsep cetakan dan cetakan persekitaran. Perkembangan bahasa, komunikasi awal dan literasi. Rancangan pelaksanaan aktiviti / taska (slot pengajaran) kelas :

Perkembangan bahasa, komunikasi & literasi awal.

Rpa perkembangan bahasa, komunikasi dan literasi awal (2 tahun). Asuh fitrah training & consultancyrancangan pelaksanaan aktiviti (rpa)siri kap kohort __/2020bidang : Perkembangan bahasa komunikasi & literasi awalnama . Taska permata kemas bandar seri astana d umur : 1.1.2 konsep cetakan dan cetakan persekitaran. Rancangan pelaksanaan aktiviti / taska. Perkembangan bahasa, komunikasi & literasi awal. Perkembangan bahasa, komunikasi awal dan literasi. Rpa perkembangan bahasa komunikasi dan literasi awal 2 tahun from i.ytimg lesser copyleft derivative works must be licensed under specified terms, with at least . "#commissionart satu persatu saya selesaikan orderanya trimakasih sudah mau menunggu. Taska permata kemas bandar seri astana d. Rancangan pelaksanaan aktiviti / taska (slot pengajaran) kelas :

Rpa perkembangan bahasa, komunikasi dan literasi awal (2 tahun). Perkembangan bahasa, komunikasi & literasi awal. Asuh fitrah training & consultancyrancangan pelaksanaan aktiviti (rpa)siri kap kohort __/2020bidang : Taska permata kemas bandar seri astana d umur : Rancangan pelaksanaan aktiviti / taska.

Rpa perkembangan bahasa, komunikasi dan literasi awal (2 tahun). 7 Rpa Ideas Dan Person Shopping Screenshot
7 Rpa Ideas Dan Person Shopping Screenshot from i.pinimg.com
Rpa perkembangan bahasa komunikasi dan literasi awal 2 tahun from i.ytimg lesser copyleft derivative works must be licensed under specified terms, with at least . Perkembangan bahasa komunikasi & literasi awalnama . Rpa perkembangan bahasa, komunikasi dan literasi awal (2 tahun). Taska permata kemas bandar seri astana d umur : Perkembangan bahasa, komunikasi awal dan literasi.

Rancangan pelaksanaan aktiviti / taska (slot pengajaran) kelas :

Rancangan pelaksanaan aktiviti / taska. "#commissionart satu persatu saya selesaikan orderanya trimakasih sudah mau menunggu. 1.1.2 konsep cetakan dan cetakan persekitaran. Taska permata kemas bandar seri astana d. Asuh fitrah training & consultancyrancangan pelaksanaan aktiviti (rpa)siri kap kohort __/2020bidang : Perkembangan bahasa komunikasi & literasi awalnama . Perkembangan bahasa, komunikasi awal dan literasi. Taska permata kemas bandar seri astana d umur : Perkembangan bahasa, komunikasi & literasi awal. Rpa perkembangan bahasa, komunikasi dan literasi awal (2 tahun). Rpa perkembangan bahasa komunikasi dan literasi awal 2 tahun from i.ytimg lesser copyleft derivative works must be licensed under specified terms, with at least . Rancangan pelaksanaan aktiviti / taska (slot pengajaran) kelas :

Rpa Perkembangan Bahasa Dan Literasi Awal 3 Tahun : Rpa Bertema 1 Membalik Buku Halaman 1 50 Anyflip. Taska permata kemas bandar seri astana d umur : Perkembangan bahasa komunikasi & literasi awalnama . 1.1.2 konsep cetakan dan cetakan persekitaran. Rpa perkembangan bahasa, komunikasi dan literasi awal (2 tahun).

Rancangan pelaksanaan aktiviti / taska (slot pengajaran) kelas : rpa perkembangan bahasa. Rancangan pelaksanaan aktiviti / taska.

Rancangan pelaksanaan aktiviti / taska. Rpa Anis Pdf

Rpa perkembangan bahasa komunikasi dan literasi awal 2 tahun from i.ytimg lesser copyleft derivative works must be licensed under specified terms, with at least . Perkembangan bahasa komunikasi & literasi awalnama .

Perkembangan bahasa komunikasi & literasi awalnama . 3 Perkembangan Bahasa Komunikasi Literasi Awal Doc Asuh Fitrah Training Consultancy Rancangan Pelaksanaan Aktiviti Rpa Siri Kap Kohort Course Hero

1.1.2 konsep cetakan dan cetakan persekitaran. Rpa perkembangan bahasa, komunikasi dan literasi awal (2 tahun). Rancangan pelaksanaan aktiviti / taska. Taska permata kemas bandar seri astana d umur :

1.1.2 konsep cetakan dan cetakan persekitaran. Perkembangan bahasa, komunikasi awal dan literasi. Taska permata kemas bandar seri astana d umur : Rpa perkembangan bahasa, komunikasi dan literasi awal (2 tahun). Perkembangan bahasa komunikasi & literasi awalnama .

Perkembangan bahasa, komunikasi awal dan literasi. Rpa Perkembangan Bahasa

Rancangan pelaksanaan aktiviti / taska. Rpa perkembangan bahasa, komunikasi dan literasi awal (2 tahun). Asuh fitrah training & consultancyrancangan pelaksanaan aktiviti (rpa)siri kap kohort __/2020bidang : Perkembangan bahasa komunikasi & literasi awalnama .

Rpa perkembangan bahasa komunikasi dan literasi awal 2 tahun from i.ytimg lesser copyleft derivative works must be licensed under specified terms, with at least . Rancangan pelaksanaan aktiviti / taska (slot pengajaran) kelas : Perkembangan bahasa, komunikasi & literasi awal. Asuh fitrah training & consultancyrancangan pelaksanaan aktiviti (rpa)siri kap kohort __/2020bidang : Rpa perkembangan bahasa, komunikasi dan literasi awal (2 tahun). Rancangan pelaksanaan aktiviti / taska.

Taska permata kemas bandar seri astana d. Rpa Jentera Pembinaan Pdf

Taska permata kemas bandar seri astana d umur : Rpa perkembangan bahasa, komunikasi dan literasi awal (2 tahun). Taska permata kemas bandar seri astana d. Perkembangan bahasa komunikasi & literasi awalnama .

Rancangan pelaksanaan aktiviti / taska (slot pengajaran) kelas : Rpa M1 Hri 1 Pdf

Perkembangan bahasa, komunikasi & literasi awal.

Rancangan pelaksanaan aktiviti / taska. Rpa Anggota Badan 1 Docx Nama Agency Latihan L C Learning Network Bidang Perkembangan Bahasa Komunikasi Dan Literasi Awal Nama Peserta No Course Hero

"#commissionart satu persatu saya selesaikan orderanya trimakasih sudah mau menunggu.

Perkembangan bahasa komunikasi & literasi awalnama . Taska Nur Jawahir Kids Centre Sungai Petani Perkembangan Bahasa Komunikasi Dan Literasi Awal Facebook By Taska Nur Jawahir Kids Centre Sungai Petani Rpa

Rpa perkembangan bahasa, komunikasi dan literasi awal (2 tahun).

Rpa perkembangan bahasa komunikasi dan literasi awal 2 tahun from i.ytimg lesser copyleft derivative works must be licensed under specified terms, with at least . Rpa Rutin 16 8 Gotngryong Pdf

Rpa perkembangan bahasa, komunikasi dan literasi awal (2 tahun).

Perkembangan bahasa, komunikasi & literasi awal. 5 Rpa Template Bahasakomunikasi Awal Literasi Pdf

Perkembangan bahasa, komunikasi awal dan literasi.

Post a Comment for "Rpa Perkembangan Bahasa Dan Literasi Awal 3 Tahun : Rpa Bertema 1 Membalik Buku Halaman 1 50 Anyflip"